Markov4s is a small library that implements MarkovChain data structure. Learn more on the website: https://markosski.github.io/markov4s/
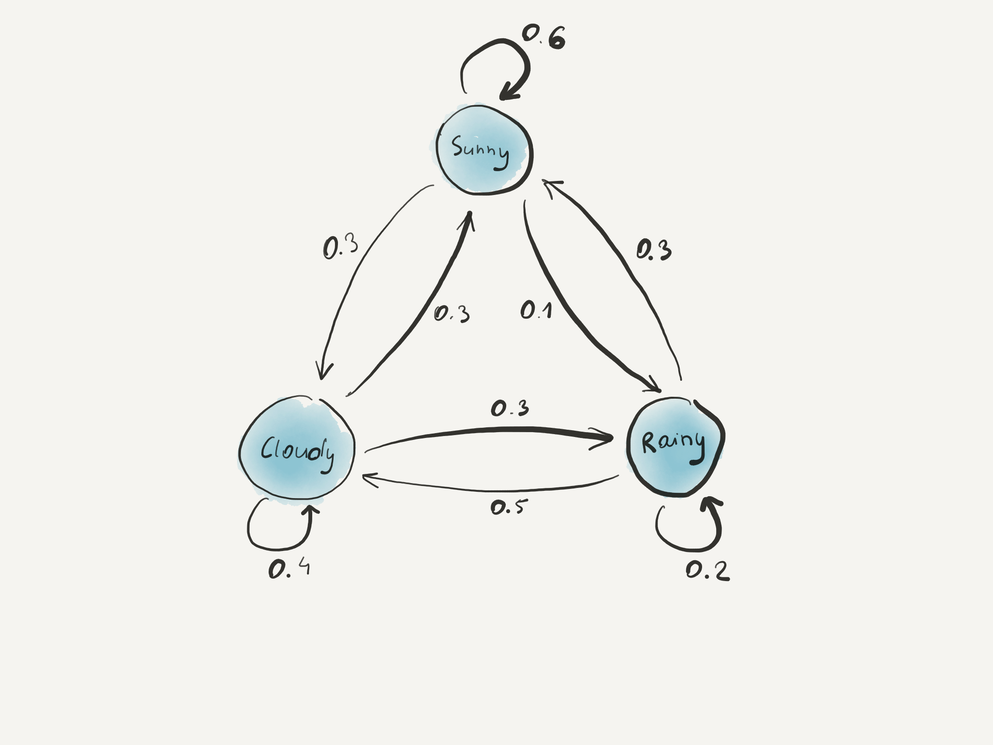
A Markov chain is a stochastic model describing a sequence of possible events in which the probability of each event depends only on the state attained in the previous event. - Wikipedia
libraryDependencies += "io.github.markosski" % "markov4s_2.12" % "0.2.0"